

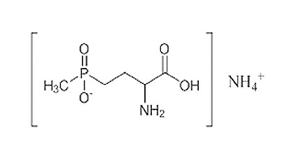
通用名稱:草胺膦 Glufosinate-ammonium
CAS NO.: 77182-82-2
化學名稱: 4-(羥基(甲基)膦酰基)-DL-高丙氨酸
分子式:C5H15N2O4P
分子量:198.2
谷氨酰胺合成抑制劑,導致銨離子積累,抑制光合作用。
草銨膦用于果園、葡萄園、橡膠和棕櫚種植園、觀賞樹木和灌木、非農耕地、蔬菜種植前防除多種一年生、 多年生闊葉雜草和一些禾本科雜草。也可用作向日葵、馬鈴薯等的干燥劑。可用于抗草銨膦轉基因作物田防除一年生、多年生雜草與禾本科雜草(油田、玉米、大豆、甜菜)。使用劑量0.4-1.5kg/hm2.可與敵草隆、西馬津、2甲4氯和其他一些除草劑混用。